II. ANALYSE PAR PROGRAMME
La mission « Monde combattant, mémoire et liens avec la Nation » comporte 2 programmes.
Le programme 169 « Reconnaissance et réparation en faveur du monde combattant, mémoire et liens avec la Nation » concentre l'immense majorité des crédits de la mission « Monde combattant ».
Ce dernier comporte, à titre principal, les deux rentes versées aux anciens combattants au titre de leur qualité d'ancien combattant ou de militaire blessé ainsi que les droits qui se rattachent à ces qualités.
Il contient également les crédits de l'allocation de reconnaissance et de l'allocation viagère, qui sont versées aux harkis, autres rapatriés et à leurs veuves, ainsi que les crédits du dispositif de reconnaissance envers les harkis et autres rapatriés prévu par la loi du 23 février 2022 portant reconnaissance de la Nation envers les harkis et les autres personnes rapatriées d'Algérie.
En dehors de ces rentes, le programme contient :
- les crédits de la politique de mémoire.
- les crédits affectés au lien armées-jeunesse, qui correspondent à la JDC et au SMV.
L'autre programme est le programme 158 « Indemnisation des victimes des persécutions antisémites et des actes de barbarie pendant la seconde guerre mondiale ». Il comprend le financement des moyens destinés à réparer les préjudices subis par les orphelins de victimes violences antisémites et d'actes de barbarie commis durant la seconde guerre mondiale et les spoliations du fait de l'application de lois antisémites. La très grande majorité de ces crédits couvre des rentes viagères à destination des orphelins, qui sont très âgés. La baisse du nombre de crédirentiers explique la diminution des crédits (- 8,12 %), les crédits passant de 85,3 millions d'euros en LFI 2025 à 78,4 millions d'euros en PLF 2026.
A. LE PROGRAMME 169 « RECONNAISSANCE ET RÉPARATION EN FAVEUR DU MONDE COMBATTANT, MÉMOIRE ET LIENS AVEC LA NATION » : UN PROGRAMME AUX ACTIONS DIVERSES MAIS DONT LES CRÉDITS COUVRENT ESSENTIELLEMENT CELLES EN FAVEUR DES ANCIENS COMBATTANTS ET DES INVALIDES
1. Des crédits hétéroclites portant l'effort en faveur des anciens combattants
Le programme 169 comporte 5 actions aux crédits très inégaux. Toutes les actions du programme 169, à l'exception du lien armées-jeunesse, sont en baisse par rapport à 2025.
Évolution des crédits des actions du programme 169 (en AE, 2025-2026)
(en millions d'euros)
|
Action |
LFI |
PLF 2026 |
Différence |
|
02 - PMI, droits et soutien aux invalides |
755 |
707,8 |
- 47,2 |
|
03 - Reconnaissance envers le monde combattant |
812,3 |
759,6 |
- 52,7 |
|
07 - Actions en faveur des rapatriés |
123,5 |
118,2 |
- 5,3 |
|
08 - Liens armées-jeunesse |
41 |
41 |
0 |
|
09 - Politique de mémoire |
33,1 |
25,8 |
- 7,3 |
|
Total |
1765 |
1652,5 |
- 112,5 |
Source : commission des finances du Sénat d'après le projet annuel de performances pour 2026
2. Des crédits dédiés aux anciens combattants et aux invalides de guerre en baisse franche
Les crédits des actions 02 et 03 diminuent, au total, de 100 millions d'euros en autorisations d'engagement et de 96,6 millions d'euros en crédits de paiement entre la LFI 2025 et le PLF 2026.
Cette diminution s'explique, comme chaque année, par l'attrition de la population bénéficiaire.
L'année 2026 se démarque cependant par une absence de revalorisation du montant des allocation de reconnaissance et des pensions militaires d'invalidité au 1er janvier 2026. Ces deux pensions sont indexées sur le point de pension militaire d'invalidité (point PMI), lui-même indexé sur l'indice de traitement brut - grille indiciaire (ITB-GI) de la fonction publique. La valeur du point PMI, fixée à 16,07 euros au 1er janvier 20252(*) ne doit pas évoluer au 1er janvier 20263(*).
Évolution des autorisations d'engagement
des actions 02 et 03
par type de prestation (2025-2026)
(en millions d'euros)
|
Dispositif |
LFI 2025 |
PLF 2026 |
Différence |
|
PMI |
662 |
617,3 |
- 44,7 |
|
Allocation de reconnaissance du combattant |
505 |
464 |
- 41 |
|
Droits dérivés liés à l'invalidité |
40,3 |
43,2 |
+ 2,9 |
|
Remboursement réductions de transport |
1,7 |
2,8 |
+ 1,1 |
|
Remboursement prestations sécurité sociale |
29,3 |
29,9 |
+ 0,6 |
|
Majoration des rentes mutualistes |
211,5 |
204 |
- 7,5 |
|
ONaC (action sociale) |
29 |
24 |
- 5 |
|
Total |
1478,8 |
1385,2 |
- 93,6 |
Source : commission des finances du Sénat d'après le projet annuel de performances pour 2026
En 2026, les économies se concentrent, de nouveau, sur les pensions militaires d'invalidité et l'allocation de reconnaissance du combattant.
Les droits rattachés à la qualité d'invalide de guerre sont en augmentation (+ 4,6 millions d'euros au total), mais cette dernière est très largement inférieure à la baisse des PMI elles-mêmes.
Des rentes versées à leurs bénéficiaires par le CAS « Pensions »
Le suivi des dépenses de PMI et de l'allocation de reconnaissance du combattant doit tenir compte de ce que la consommation des crédits inscrits à ce titre au programme 169 peut ne pas se traduire par des transferts équivalents au bénéfice des titulaires de droits en raison des modalités de la maquette budgétaire. Les dépenses sur crédits du programme 169 sont, en effet, versées en direction du compte d'affectation spéciale « Pensions » (en particulier du programme 743 de ce compte).
Elles en constituent les recettes, à partir desquelles sont effectués les versements effectifs aux bénéficiaires. Pour suivre la consommation des crédits correspondants du programme 169, il convient donc de mesurer les dépenses effectives du programme 743 qui correspondent aux recettes ainsi apportées à ce compte.
Le solde du CAS avait été très largement mobilisé lors de l'exécution 2023 du fait de la non anticipation en LFI de la revalorisation réelle du point PMI au 1er janvier 2023. Le volume des crédits contenus dans le programme 743 « Pensions militaires d'invalidité et des victimes de guerre et autres pensions » du CAS « pensions » est ainsi passé de 17,52 millions d'euros au 31 décembre 2022 à 6,6 millions d'euros au 31 décembre 2023. La même situation de non anticipation de la revalorisation réelle du point PMI au 1er janvier 2024 s'est présentée pour l'exécution 2024, alors que le CAS avait déjà été mobilisé et a entrainé une ouverture de plus de 46 millions d'euros par décret sur le programme 169.
La prévision pour 2025 se base sur une valeur du point PMI proche de la revalorisation ayant effectivement eu lieu au 1er janvier 2025 et cela semble devoir également être le cas en 2026.
Source : Commission des finances, d'après la documentation budgétaire
a) Des extensions de droits importantes pour les rapatriés mais de portée limitée pour le reste du monde combattant ces dernières années
Au cours des dernières années, une série de mesures d'extension des droits en faveur des anciens combattants est intervenue. Les modifications apportées aux droits des anciens combattants (propres ou dérivés) n'ont eu qu'un assez faible impact sur la situation des anciens combattants et des invalides.
Les principaux efforts récents en faveur des anciens combattants se concentrent sur la dépense fiscale et ont essentiellement bénéficié aux veuves d'anciens combattants. Il s'agit des extensions du bénéfice de la demi-part fiscale des anciens combattants, réversibles aux veuves. En effet, jusqu'en 2023, le bénéfice de cette demi-part était conditionné par un critère d'âge de l'époux au moment de son décès, qui a été supprimé par la LFI pour 2023.
L'effort en faveur des rapatriés a cependant connu un renforcement significatif depuis 2022. Les crédits qui leur étaient dédiés pour 2023 (100,9 millions d'euros) représentent quasiment le quadruple de la programmation initiale pour 2022 (26 millions d'euros), et ces crédits ont continué de se renforcer jusqu'à 2025. Ils sont toutefois en baisse pour 2026.
Évolutions intervenues depuis
2021 pour modifier
les droits des anciens combattants
|
Mesure |
Références |
Bénéficiaires |
Coût associés |
|
Pension militaire d'invalidité |
|||
|
Revalorisation exceptionnelle de 35 centimes et modification des modalités de revalorisation du point PMI |
Article 174 de la loi n° 2021-1900 du 30 décembre 2021 de finances pour 2022 |
Tous les bénéficiaires d'une allocation de reconnaissance du combattant ou d'une pension militaire d'invalidité |
30 millions d'euros |
|
Droit à réparation intégrale pour les militaires blessés du fait d'un évènement de guerre ou lors d'une mission opérationnelle |
Article 21 de la loi
n° 2023-703 du 1er août 2023 relative
à la programmation militaire pour les années
2024 à 2030 |
Militaires blessés du fait d'un évènement de guerre ou lors d'une mission opérationnelle |
2 millions d'euros |
|
Extension du bénéfice d'un billet de train gratuit aux frères et soeurs aînés d'un militaire mort pour la France entre le lieu de résidence et la sépulture |
Article 217 de la loi n° 2023-1322 du 29 décembre 2023 de finances pour 2024 |
Frère ou soeur ainé d'un militaire mort pour la France |
50 000 euros en année pleine |
|
Demi-part fiscale des anciens combattants |
|||
|
Suppression de la condition d'âge minimum au décès du conjoint ancien combattant |
Article 8 de la loi n° 2022-1726 du 30 décembre 2022 de finances pour 2023 |
Veuves dont le conjoint ancien combattant est décédé avant ses 65 ans |
Estimé à plus de 130 millions en PLF. Impact budgétaire nul constaté en exécution. |
|
Allocations versées aux anciens membres des forces supplétives et à leurs conjoints survivants |
|||
|
Doublement de l'allocation viagère et de l'allocation de reconnaissance |
Arrêté du 21 décembre 2021 fixant à compter du 1er janvier 2022 le montant de l'allocation viagère définie par l'article 133 de la loi n° 2015-1785 du 29 décembre 2015 de finances pour 2016 |
Harkis, autres supplétifs et leurs veuves |
19,2 millions d'euros en 2023 |
|
Suppression du délai de forclusion pour la demande de l'allocation viagère |
Loi n° 2022-229 du 23 février 2022 portant reconnaissance de la Nation envers les harkis et les autres personnes rapatriées d'Algérie anciennement de statut civil de droit local et réparation des préjudices subis par ceux-ci et leurs familles du fait de l'indignité de leurs conditions d'accueil et de vie dans certaines structures sur le territoire français |
Veuves de harkis n'ayant pas réalisé leur dossier d'allocation viagère dans les délais impartis |
|
|
Dispositif de reconnaissance et réparation aux harkis, autres supplétifs et rapatriés du fait des conditions indignes d'accueil sur le territoire national dans des camps ou hameaux de forestage |
Loi n° 2022-229 du 23 février 2022 portant reconnaissance de la Nation envers les harkis et les autres personnes rapatriées d'Algérie anciennement de statut civil de droit local et réparation des préjudices subis par ceux-ci et leurs familles du fait de l'indignité de leurs conditions d'accueil et de vie dans certaines structures sur le territoire français |
30 000 à 35 000 demandes attendues |
45 millions d'euros en 2022, 60 millions d'euros en 2023 70 millions d'euros en 2024 et 2025 |
|
Augmentation du montant de l'allocation viagère et de l'allocation de reconnaissance dans certains cas |
Article 218 de la loi n° 2023-1322 du 29 décembre 2023 de finances pour 2024 |
Harkis, autres supplétifs et leurs veuves |
Estimé en 2024 à 5,7 millions d'euros. 9,4 millions d'euros provisionnés par le PLF 2025. |
Source : réponse au questionnaire du rapporteur spécial
Il n'y a pas eu de mesure d'extension du bénéfice de la carte du combattant depuis la carte 62/64. Cette dernière avait conduit à la remise de 39 423 cartes du combattant. Depuis, les nouvelles attributions de la carte du combattant correspondent aux soldats en retour d'OPEX.
b) L'érosion du nombre de bénéficiaires à l'origine des baisses de crédits du programme 169
Deux populations doivent être distinguées : celle des bénéficiaires de la pension militaire d'invalidité (PMI) et celle des titulaires de l'allocation de reconnaissance du combattant. La PMI, contrairement à l'allocation de reconnaissance du combattant, voit son montant varier d'un attributaire à l'autre et est réversible à des ayants-cause. De plus, si les deux populations s'inscrivent dans une tendance baissière, elle ne se réalise pas de la même manière et n'entraîne pas les mêmes conséquences budgétaires.
De manière générale, ces deux populations diminuent fortement, en moyenne de plus de 5 % par an pour les invalides de guerre et de plus de 8 % par an pour les anciens combattants depuis 2021.
Évolution du nombre des bénéficiaires des pensions militaires d'invalidité (PMI) et de l'allocation de reconnaissance du combattant (RC) (2016-2026)
Source : commission des finances du Sénat, d'après les documents budgétaires
(1) L'allocation de reconnaissance du combattant, une reconnaissance de la Nation dont les crédits diminuent au rythme du nombre de ses bénéficiaires
Les bénéficiaires de l'allocation de reconnaissance du combattant sont les titulaires de la carte du combattant âgés de 65 ans ou plus.
Le nombre des titulaires de l'allocation de reconnaissance du combattant est en forte diminution, ce qui constitue le facteur principal de la réduction des crédits. Cette baisse démographique devrait s'établir à 8,4 % de l'effectif en 2025 et les prévisions pour 2026 pronostiquent une nouvelle baisse de même ampleur.
Les cartes attribuées pour un engagement postérieur à 1964 sont fortement minoritaires et les entrées dans le dispositif de l'allocation de reconnaissance du combattant des possesseurs de la carte atteignant 65 ans sont très loin de compenser les sorties du dispositif. Par ailleurs, les 40 172 cartes du combattant attribuées suite à la reconnaissance de l'engagement des militaires en Algérie lors de la période 1962-1964 sont comptabilisées parmi les cartes du combattant attribuées au titre des OPEX. Il y avait donc au 1er juillet 2024 un peu plus de 240 000 cartes du combattant attribuées pour un engagement postérieur à 1964.
Répartition par conflit des cartes du combattants attribuées
|
Conflits |
Cartes du combattant attribuées au 1er juillet 2025 |
|
Première guerre mondiale et TOE |
4 425 379 |
|
Seconde guerre mondiale |
2 605 202 |
|
Guerres d'Indochine et de Corée |
211 060 |
|
Guerre d'Algérie, combats en Tunisie et au Maroc |
1 689 842 |
|
Opérations extérieures |
286 713 |
|
Total |
9 218 196 |
Source : ministère des armées, en réponse au questionnaire budgétaire
Au 1er janvier 2025, l'on dénombrait encore 613 769 titulaires de l'allocation de reconnaissance du combattant, laquelle n'est versée qu'à compter de 65 ans.
Le nombre de bénéficiaires de l'allocation de reconnaissance du combattant semble devoir continuer à fortement baisser jusqu'à ce qu'une stabilisation intervienne lorsque les entrées d'anciens combattants engagés en OPEX postérieurement à 1964 compenseront les sorties du dispositif. Cependant, le niveau de stabilisation est estimé à 500 000 ressortissants de l'ONaCVG, veuves comprises.
La trajectoire baissière de cette population est le facteur principal de diminution des crédits affectés à l'allocation de reconnaissance du combattant. Le second facteur de cette baisse est la revalorisation traditionnellement limitée - nulle en 2026 - de son point d'indice (voir infra) bien que cette dernière soit, sur le long terme, contrebalancée par l'augmentation du nombre de points de pensions militaires d'invalidité sur lequel est indexée l'allocation de reconnaissance du combattant : il est ainsi passé de 33 points en 2006 à 52 points actuellement. Ces augmentations de points devaient néanmoins être des mesures de reconnaissance envers les anciens combattants et non pas un moyen de compensation du faible dynamisme du point PMI.
(2) Les pensions militaires d'invalidité, régime d'indemnisation recouvrant des situations très diverses et dont la population tend tout à la fois à diminuer et à se recomposer
La population des bénéficiaires des pensions militaires d'invalidité (PMI) comprend, outre les titulaires eux-mêmes, des ayants cause, pour l'essentiel des conjoints auxquels s'ajoutent des orphelins et des ascendants. Les deux populations, ayants droit et ayants cause, se réduisent. Leur nombre devrait baisser de 4,7 % en 2025 et les projections démographiques prévoient une nouvelle diminution de 5,3 % en 2026.
La proportion des ayants cause, après s'être renforcée, tend à refluer. Ils représentaient 23,6 % des titulaires de PMI en 2023 et en représentent 22 % en 2025. Dans le même temps, la part des ayants cause dans les versements de PMI s'est stabilisée : ils recevaient 45 % de la valeur des PMI en 2023 et 44 % en 2025.
Évolution des titulaires et des
dépenses de PMI
entre 2016 et 2026
Source : commission des finances du Sénat, d'après les documents budgétaires
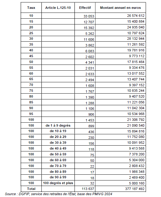
La dépendance du nombre de points au niveau d'invalidité du pensionnaire entraine une dispersion considérable des droits versés aux bénéficiaires. Il existe un éventail de valeurs indiciaires particulièrement large qui sert de base au calcul des pensions. L'échelle d'invalidité va ainsi de 10 % à 100 % + 100 degrés, chaque degré valant 10 % de taux d'invalidité. La grille servant de base pour l'attribution de point PMI est contenue dans l'annexe 1 au code des pensions militaires d'invalidité et des victimes de guerre. De plus, le nombre de point d'une PMI varie, à taux d'invalidité équivalent, en fonction du grade du militaire titulaire de la pension. Une répartition exhaustive par taux et par indice aboutit au constat que les pensions sont payées sur la base de plusieurs milliers d'indices pour les invalides et plusieurs centaines pour les conjoints.
Répartition par taux d'invalidité
des pensions militaires d'invalidité
et des victimes de la guerre en
paiement au 1er janvier 2025
Ainsi, si la population des bénéficiaires disposant des pensions les plus élevées subit une attrition plus forte que le reste des bénéficiaires de PMI, la baisse des dépenses constatée sera plus élevée que celle de la population globale des bénéficiaires.
Ces phénomènes ont conduit à une réduction forte de la valeur unitaire moyenne des PMI. Le ratio coût PMI/bénéficiaires était supérieur à 5 000 euros par bénéficiaire jusqu'en 2018. Ce dernier doit atteindre 4 600 euros par bénéficiaire en 2026.
Il est procédé depuis 2023, dans le cadre du Plan Blessé 2023-2027, à une révision du guide-barème des invalidités par brique d'infirmités visant à faciliter la réalisation de l'expertise médicale lors de l'instruction d'une demande de PMI. Le rapporteur spécial salue cette initiative et appelle à une simplification du barème des pensions, tant pour des raisons d'équité dans la détermination des allocations que pour permettre une application plus fluide des dispositions d'indemnisation.
La valeur des pensions en elles-mêmes, de manière générale, est assez peu évolutive, les PMI étant, comme l'allocation de reconnaissance du combattant, calculée sur la base de points de PMI dont la revalorisation est traditionnellement faible, et même nulle en 2026.
Cependant, au contraire de l'allocation de reconnaissance du combattant, le nombre de points dont bénéficient les pensionnaires de PMI dépend directement de leur taux d'invalidité et n'augmente pas dans le temps. Ainsi, si l'augmentation du nombre de points PMI de l'allocation de reconnaissance du combattant a pu contrebalancer une revalorisation atone et très inférieure à l'inflation de ce point, ce n'est pas du tout le cas des pensionnaires d'une PMI qui voient la valeur de leur pension être grignotée année après année par l'inflation.
Comparaison de la revalorisation du point PMI avec
l'hypothèse
d'une revalorisation indexée sur l'inflation et
conséquences
sur l'Allocation de reconnaissance du combattant et les
PMI
Source : ministère des armées, en réponse au questionnaire budgétaire
Aucune revalorisation n'est prévue au 1er janvier 2026, alors que le gouvernement se base sur une hypothèse d'inflation de 1,1 % en 2025 dans le PLF 2026.
Rappels sur les pensions de réversion
Les pensions de réversion, a contrario des PMI elles-mêmes, sont forfaitaires.
Aux termes du code des pensions militaires d'invalidité et des victimes de guerre (CPMIVG), pour ouvrir un droit à pension pour les ayants cause, il faut que le décès soit imputable au service, ou que le décès soit en relation avec une infirmité pensionnée ou que le militaire soit pensionné d'un taux supérieur ou égal à 60 % (85 % pour un pensionné civil).
Lorsque ces conditions sont remplies et que le taux d'infirmité du pensionnaire était supérieur à 85 %, les conjoints survivants ont droit à pension au taux dit « normal » qui équivaut à 500 points PMI pour le grade de soldat.
Les conjoints survivants dont le conjoint militaire était pensionné à un taux d'invalidité inférieur à 85 % et au moins égal à 60 % ont droit à une pension au taux dit « simple » équivalent à deux tiers du montant de la pension de taux « normal ».
Le nombre de point PMI attachés aux pensions de réversion évolue en fonction du rang du conjoint décédé : si la pension de réversion d'un soldat de taux normal s'élève à 500 points de PMI, celle d'un capitaine de 4ème échelon s'élèvera à 680 points par exemple.
Cette pension peut être majorée sous certaines conditions.
Une des conséquences de ces conditions est que le montant moyen des pensions de réversion versées aux ayants-cause est significativement plus important que le montant moyen des pensions versées aux invalides eux-mêmes, la très grande majorité d'entre eux bénéficiant de pension d'invalidité avec un taux faible.
Montants moyens et médians des PMI versées aux ayants-droits et ayants-cause
*Montant non communiqué par le service des retraites de l'État
Champ : Pensions militaires d'invalidité et des victimes de la guerre en paiement au 31 décembre 2024
Source : DGFIP, service des retraites de l'État
Source : commission des finances
c) Une absence de revalorisation des pensions en 2026 renforçant la baisse des crédits de la mission
Les PMI et l'allocation de reconnaissance du combattant sont toutes deux indexées sur un indice nommé point de pensions militaires d'invalidité (point PMI).
Le point PMI est désormais calculé au début de chaque année civile, sur la base d'une période de référence fixe et sans application rétroactive4(*). Cette période de référence s'étend, pour une revalorisation devant intervenir au 1er janvier de l'année, du 1 juillet de l'année n-2 au 30 juin de l'année n-1. Il est à noter que le passage du « rapport constant » aux modalités actuelles, s'il simplifie significativement le calcul de la valeur du point PMI et n'emporte que des conséquences financières modiques au niveau individuel, s'est fait en défaveur des pensionnés puisque les pensions sont désormais revalorisées de manière non-rétroactive sur une base annuelle plutôt que de manière rétroactive sur une base trimestrielle.
Le point PMI est indexé sur l'indice de traitement brut - grille indiciaire (ITB-GI), publié conjointement par l'INSEE et la direction générale de l'administration et de la fonction publique. L'ITB-GI est un agrégat fonction de l'évolution de l'indice de la fonction publique et de mesures catégorielles au prorata de leur incidence sur l'échelle indiciaire des fonctionnaires.
Suivant ce principe, le point PMI ne sera pas revalorisé au 1er janvier 2026.
Comparaison de l'évolution de l'allocation
de reconnaissance du combattant
avec l'hypothèse d'une indexation
sur l'inflation à nombre de points PMI fixe (2012-2025)
Source : Ministère des armées, en réponse au questionnaire budgétaire
Le rapporteur spécial rappelle que contrairement à l'allocation de reconnaissance du combattant, les pensions militaires d'invalidité ne sont pas revalorisées par une augmentation du nombre de points. Ainsi, ces dernières connaissent une véritable baisse de valeur face à l'inflation. Par ailleurs, à plus court terme, la dernière revalorisation de point PMI remontant à 2018, l'allocation de reconnaissance du combattant a également connu une perte de valeur face à l'inflation, et en connait une par rapport à son niveau de 2012 à compter de 2025.
Il faut également souligner que le surcoût qu'entrainerait une revalorisation du point PMI resterait inférieur aux économies réalisées par la mission « Monde combattant » du fait de la réduction de la population bénéficiaire sur la même période. Aussi une revalorisation du point PMI est tout à fait envisageable dans une trajectoire baissière des crédits totaux.
Ainsi, en l'absence de volonté politique particulière, la valeur réelle des rentes viagères servies aux invalides continue d'être grignotée année après année par l'inflation.
Le rapporteur estime que la situation particulière des invalides de guerre n'est pas satisfaisante et que des pistes permettant d'améliorer spécifiquement leur situation méritent d'être recherchées.
Le décret n° 2022-128 du 4 février 2022 modifiant les modalités de fixation de la valeur du point de pension militaire d'invalidité prévoit la remise d'un rapport bisannuel comparant l'évolution constatée de la valeur du point de pension et de celle de l'indice des prix à la consommation hors tabac, dont la première itération devait être publiée en 2024. Le rapport a été rendu en mai 2025. S'il souligne que les modalités de 2022 sont imparfaites puisqu'elles ont amené à deux mesures règlementaires d'anticipation de prise en compte de revalorisations générales des rémunérations publiques - aux 1ers janvier 2023 et 2024 -, il conclut en faveur d'un maintien d'une indexation sur l'ITB-GI, au titre que les PMI et l'allocation de reconnaissance du combattant ne sont pas des dispositifs de retraite et que l'indexation sur l'ITB-GI permet une revalorisation régulière du point PMI. Il précise également qu'une indexation sur l'inflation serait moins favorable à la soutenabilité des finances publiques.5(*).
Le rapporteur rappellera que les allocations de reconnaissance et viagères dont bénéficient les rapatriés d'Afrique du Nord et leurs veuves (cf. infra) sont elles indexées sur l'inflation bien que n'étant pas non plus des dispositifs de retraite. Leur poids budgétaire est néanmoins significativement moins important que celui des ARC et PMI.
d) La rente mutualiste du combattant : un dispositif dont le poids relatif dans l'effort envers les anciens combattants augmente malgré un nombre de bénéficiaires limité
Les interventions en faveur des anciens combattants financées par le programme 169 sont composites. Certaines, à vocation universelle (PMI, l'allocation de reconnaissance du combattant), sont versées à tous ceux qui réunissent des conditions objectives tenant à leur situation de combattant ou de santé et à raison de celles-ci.
Il existe également les rentes mutualistes du combattant, qui impliquent cette fois un choix du bénéficiaire et sont variables, indépendamment de la seule situation d'ancien combattant. Elles ne concernent que 213 223 bénéficiaires en 2026 (contre 230 718 en 2025).
La rente mutualiste
La retraite mutualiste du combattant, devenue rente mutualiste du combattant, bénéficie d'un certain nombre d'avantages, de nature fiscale ou liés au régime de majoration légale institué par la loi du 4 mai 1948.
Les contribuables anciens combattants peuvent, chaque année, déduire de leurs revenus imposables, dans la limite d'un plafond, les versements effectués en vue de la constitution d'une rente donnant lieu à majoration de l'État.
Cette rente bénéficie, en plus de la majoration légale attachée à toute rente viagère (mais sans limite de plafond de ressources), d'une majoration spécifique de l'État de 12,5 % à 60 % selon le titre détenu et sa date d'obtention.
Le total formé par la rente et la majoration spéciale de l'État est limité à un plafond, dit « plafond majorable » égal à 125 points de PMI (2 006,25 euros en 2025, non revalorisé en 2026).
La rente mutualiste se cumule avec toutes les autres pensions et retraites. Elle est exonérée d'impôt pour sa part inférieure au plafond légal. Au-delà de ce plafond, le régime fiscal est celui de l'assurance-vie.
Source : commission des finances, d'après la documentation budgétaire
Or, cet avantage mobilise une part importante des dotations en faveur des anciens combattants : 204,1 millions d'euros en 2026, soit un montant équivalent à 44 % des crédits dédiés à l'allocation de reconnaissance du combattant.
La part de la charge budgétaire liée aux majorations de rentes mutualistes augmente plus ou moins vite chaque année, en fonction de la baisse constatée par ailleurs pour les PMI et l'allocation de reconnaissance du combattant. En 2026, cette majoration représente désormais 12,3 % des crédits du programme 169 contre 8 % en 2011.
Les dépenses correspondantes connaissent ainsi une certaine stabilité, contrairement aux autres prestations du programme, malgré une démographie connaissant une attrition similaire à celle des bénéficiaires de PMI.
Évolution de la charge des avantages
attribués aux rentes mutualistes
des anciens combattants et des
effectifs bénéficiaires (2016-2026)
Source : commission des finances du Sénat, d'après la documentation budgétaire
Le faible niveau de revalorisation du point PMI mentionné plus haut a toutefois, comme pour les autres prestations liées à la valorisation du point de PMI, limité la dynamique de cette dépense.
Il est permis de s'interroger sur les facteurs expliquant le faible recours à cette faculté ouverte aux ayants droit de se constituer un tel complément de retraite. À ce stade, le rapporteur spécial se limitera à relever que cette absence de recours au dispositif conduit à des économies significatives.
3. Les crédits des actions en faveur des rapatriés marquent un recul en 2025
L'action en faveur des harkis, autres supplétifs et rapatriés avait connu un renforcement exceptionnel en 2022. Ainsi, le montant de l'allocation de reconnaissance et de l'allocation viagère a été doublé par voie réglementaire et la loi n° 2022-229 du 23 février 2022 portant reconnaissance de la Nation envers les harkis et les autres personnes rapatriées a levé le délai de forclusion de l'allocation viagère tout en créant une indemnité de réparation des préjudices résultant de l'indignité de leurs conditions d'accueil et de vie dans des camps et des hameaux de forestage.
Les crédits en faveur des rapatriés sont ainsi passé de 26,6 millions d'euros dans le texte initial du PLF 2022 à 100,9 millions d'euros dans le texte de la LFI 2023. Ils avaient depuis lors continué de progresser, pour s'établir à 123,5 millions d'euros en LFI 2025.
L'année 2026 marque une rupture de cette tendance puisque les crédits de l'action 07 diminuent de 5,3 millions d'euros pour s'établir à 118,2 millions d'euros.
Cette baisse globale cache une augmentation importante des crédits dédiés au paiement des rentes viagères dont bénéficient les rapatriés et leurs veuves et, parallèlement, une réduction, également importante, des crédits prévus pour la mise en oeuvre du dispositif de réparation.
a) Des crédits dominés par des pensions viagères et le dispositif d'indemnisation du fait de l'accueil indigne en France des harkis, autres supplétifs ou rapatriés
Les crédits en faveur des rapatriés sont à 99 % dédiés à l'allocation de reconnaissance, à l'allocation viagère et au droit à réparation du fait des conditions d'accueil indignes en France.
Les allocations viagères du programme 169
Plusieurs allocations aux noms très proches existent au sein du programme 169 :
- L'allocation de reconnaissance du combattant, dont bénéficient les titulaires de la carte du combattant de plus de 65 ans.
- L'allocation de reconnaissance, dont bénéficient les harkis en ayant fait la demande. Depuis le 1er janvier 2024, tous les harkis bénéficient d'une rente. Auparavant, certains avaient fait le choix de percevoir l'allocation sous forme de capital et ne percevaient en conséquence pas de rente. Néanmoins, les harkis qui avaient fait le choix d'un versement en capital total ou partiel ont une rente moins importante que les harkis ayant choisi de bénéficier de l'allocation exclusivement sous forme de rente.
L'allocation viagère est une allocation dont bénéficient les veuves de harkis en ayant fait la demande. Depuis le 1er janvier 2024, toutes les veuves bénéficient de cette allocation sous la forme d'une rente d'un montant équivalent à celui de l'allocation de reconnaissance sous forme de rente exclusive.
Les trois allocations sont viagères, de même que les pensions militaires d'invalidité.
Source : commission des finances
L'action contient également divers soutiens, tels que des aides à la formation professionnelle, des aides au désendettement, des aides spécifiques aux conjoints survivants, des remboursements de cotisations retraites complémentaires ou encore des mesures de sauvegarde du toit familial. Ces différentes aides ne représentent cependant que 700 000 euros annuels.
b) Une réduction importante des crédits du dispositif de réparation entrainant une baisse des crédits de l'action 07
Le dispositif de réparation du fait des conditions d'accueil indignes en France a été créé par la loi n° 2022-229 du 23 février 2022 portant reconnaissance de la Nation envers les harkis et les autres personnes rapatriées. Il donne lieu au paiement d'indemnités sous forme de capital. Il a vocation à disparaitre après traitement des demandes. Lors de l'adoption de la loi, il était estimé que 50 000 dossiers devraient être déposés pour un coût global estimé à 300 millions d'euros. L'ONaCVG établissait lui une estimation de 40 000 dossiers. Le dispositif a depuis par deux fois été étendu par décret6(*).
De plus, la Cour européenne des droits de l'homme a rendu une décision « Tamazount » le 4 avril 2024, dans laquelle elle considère que certaines indemnités consenties dans le cadre de ce dispositif étaient trop faibles. Les dossiers concernés devront faire l'objet d'un réexamen. Le surcoût de la décision est estimé à 41 millions d'euros.
Sous le double effet des extensions réglementaires et de la décision Tamazount, tant le nombre de dossiers que le coût global du dispositif ont été augmentés.
Le Gouvernement a cependant fait le choix de conserver des crédits stables en 2025 par rapport à 2024 pour ce dispositif, soit 70 millions d'euros, somme qui ne permettait pas d'absorber les conséquences de la décision Tamazount.
En 2026, les crédits dédiés au dispositif de réparation sont en baisse de 12 millions d'euros pour s'établir à 58 millions d'euros, soit une baisse de 17 % de cette enveloppe, qui entraine à la baisse les crédits globaux de l'action 07.
Ainsi, il apparait impossible que la totalité des dossiers soit traités d'ici la fin de l'année 2026, et ce non du fait d'un temps de traitement trop long des dossiers mais du fait d'une absence de crédits suffisants pour les liquider.
Si le choix fait de réduire les crédits du dispositif permet de constater une réduction des crédits de l'action 07 sur 2026, elle entraine un report de dépenses qui devront être réalisées sur les années suivantes et entraine pour les bénéficiaires du dispositif un allongement du temps nécessaire pour leur donner satisfaction alors qu'il s'agit d'un dispositif supposé offrir réparation aux « harkis, [aux] moghaznis et [aux] personnels des diverses formations supplétives et assimilés de statut civil de droit local qui ont servi la France en Algérie et qu'elle a abandonnés. »7(*) au titre de la responsabilité de la Nation « [...] du fait de l'indignité des conditions d'accueil et de vie sur son territoire, à la suite des déclarations gouvernementales du 19 mars 1962 relatives à l'Algérie, des personnes rapatriées d'Algérie anciennement de statut civil de droit local et des membres de leurs familles, hébergés dans des structures de toute nature où ils ont été soumis à des conditions de vie particulièrement précaires ainsi qu'à des privations et à des atteintes aux libertés individuelles qui ont été source d'exclusion, de souffrances et de traumatismes durables. »8(*)
Le rapporteur spécial souhaiterait qu'il ne soit pas procédé à un lissement dans le temps de la reconnaissance de la Nation envers les rapatriés, qui représenterait pour ces derniers une trahison de la parole politique donnée.
c) Une augmentation structurelle du niveau des allocations versées aux rapatriés et à leurs veuves
Les allocations de reconnaissance et viagères sont des allocations destinées respectivement aux harkis, moghaznis et autres membres des formations supplétives et à leurs veuves.
La levée de la forclusion, le doublement des allocations, le versement d'une rente viagère aux allocataires ayant à l'origine fait le choix d'un versement en capital et l'alignement des rentes des veuves sur le niveau le plus favorable a structurellement augmenté le montant des crédits dédiés à ces allocations, qui sont depuis ces mesures sur une trajectoire ascendante. Ces deux allocations étant viagères, cette augmentation s'inscrit dans le long voir très long terme.
Ainsi, les crédits prévus pour l'allocation de reconnaissance en 2026 s'élèvent à 31,5 millions d'euros, en hausse de 500 000 euros par rapport à 2025 et les crédits prévus pour l'allocation viagère s'établissent à 27,2 millions d'euros en 2026, en hausse de 5,5 millions d'euros par rapport à 2025.
4. Les crédits de la mission affectés à la JDC et au SMV sont stables par rapport à 2025
Le budget 2026 de l'action 08 « Liens armées-jeunesse » du programme 169 s'établit à 41 millions d'euros en AE et CP, un montant quasiment identique à 2025 (+ 20 000 euros). Ces derniers représentent une forte augmentation, de 15 millions d'euros (+ 57,35 %), par rapport à 2024.
Il se compose de deux unités opérationnelles respectivement dédiées à la journée défense et citoyenneté (JDC) et au service militaire volontaire (SMV). Les crédits de l'action sont principalement consacrés au financement de la JDC, qui absorbe plus de 90 % de ses dotations.
L'augmentation des crédits entre 2024 et 2025 portait exclusivement sur la JDC, dont la dotation a augmenté de 15 millions d'euros en AE et CP. Les moyens du SMV sont eux restés inchangés.
Les crédits de l'action 08 font l'objet d'abondements massifs en provenance de la mission « Défense », de collectivités territoriales ou de fonds de concours. En 2024, ces deux dispositifs coutaient au total plus de 150 millions d'euros, dont seuls 24,5 millions d'euros étaient financés par la mission « Monde combattant ». Les chiffres du SMV pour 2025 n'ont pas été transmis. Néanmoins, le montant des abondements de la mission « Défense » vers la JDC sont restés stables entre 2024 et 2025 malgré le renforcement de 15 millions d'euros des crédits prévus par le programme 169 dédiés au SMV sur la même période.
Aussi en 2025 la proportion de crédits extérieurs devrait être légèrement moindre du fait d'abondements extérieurs stables et d'une augmentation de 66 % des crédits du programme 169 pour le SMV. La grande majorité des crédits provient cependant toujours des abondements hors mission.
a) Le service militaire volontaire : 3,5 millions d'euros inscrits dans la mission, pour un budget total de près de 60 millions d'euros
Le Service Militaire Volontaire (SMV) est une action du ministère de la défense nationale visant à accueillir des jeunes en situation de précarité sociale dans une structure d'accompagnement de type militaire et ayant pour but de les intégrer dans le monde du travail. Des jeunes de 18 à 25 ans se trouvent placés en internat sous statut militaire. Ils suivent une formation militaire sans entrainement au combat, bénéficient d'une remise à niveau scolaire puis d'une formation professionnelle, le tout sous encadrement militaire.
Le rapporteur spécial n'ayant pas reçu les réponses attendues à plusieurs de ses questions sur le SMV dans le cadre de son questionnaire budgétaire, il renvoie le lecteur à ses rapports concernant le projet de loi de finances pour 20259(*) et le projet de loi relatif aux résultats de la gestion et portant approbation des comptes de l'année 202410(*).
Pour mémoire, pour un objectif d'accueil de 1 500 « volontaires stagiaires » en 2024, les promotions comptent jusqu'en 2023 de 1 000 à 1 200« volontaires stagiaires ».
Le budget de la mission prévoit pour le SMV 3,5 millions d'euros en 2026 contre 3,4 millions d'euros en 2025. Les crédits de la mission apparaissent donc stables. Cependant, les dépenses en exécution du SMV, après prise en compte de ses autres sources de financement, s'élevaient à 56 millions d'euros en 2023 et à 59,9 millions d'euros en 202411(*), dont 9 millions d'euros proviennent de fonds européens. La masse salariale du dispositif, prise en charge par la mission « Défense », s'élève à 36,4 millions d'euros, pensions comprises. Les collectivités territoriales ont financé le dispositif à hauteur de 4,1 millions d'euros en 2023.
Le rapporteur remarque une augmentation d'année en année du coût global du SMV, bien que celle-ci ne se répercute pas dans la programmation budgétaire du programme 169.
Le SMV ne couvre pas les collectivités d'outre-mer, qui disposent du service militaire adapté (SMA), plus ancien et ayant directement inspiré le SMV. Le budget du SMA ne relève pas de la présente mission.
Le rapporteur spécial renvoie à son rapport sur le SMV pour une analyse plus détaillée du dispositif, de son financement et de ses résultats12(*).
b) La JDC : des crédits en forte hausse depuis 2024 liée à une réforme de son contenu
(1) Des crédits pour 2026 stables par rapport à 2025 mais non représentatifs du coût réel du dispositif
La journée « défense et citoyenneté » (JDC) est une obligation à laquelle chaque Français doit déférer avant ses 18 ans. Elle succède au service militaire et prend, dans son format normal, la forme d'une journée de présentation ayant vocation à diffuser l'esprit de défense auprès des jeunes. Elle est mise en oeuvre par la direction du service national et de la jeunesse (DSNJ). Un certificat de participation est remis en fin de journée et ce dernier est obligatoire pour l'inscription aux examens et concours soumis au contrôle de l'autorité publique. Un jeune qui n'aurait pas suivi la JDC a toujours la possibilité de régulariser sa situation jusqu'à 25 ans. En tout état de cause, à compter de ses 25 ans, il sera considéré comme étant en règle avec le service national même s'il n'a pas suivi la JDC ou régularisé sa situation après-coup.
Le nouveau programme de la JDC cherche à recentrer la Journée sur son aspect militaire et s'organise autour de 7 activités : cérémonie des couleurs, tir sportif laser, jeu de rôle, tests (dont la détection des difficultés de lecture), repas en ration militaire, forum des métiers et immersion dans la réalité virtuelle et au-revoir républicain au cours duquel le Bleuet de France est remis à chaque jeune. Les séquences de sensibilisation des jeunes à différents enjeux (égalité femme-homme, environnement, mémoire, etc...) ont été abandonnés. Le rapporteur spécial regrette que ces enjeux essentiels et actuels ne soient plus abordés lors de la JDC.
Les crédits de la mission consacrés à la JDC ont connu en 2025 une augmentation très significative de 15 millions d'euros (+ 66 %) du fait d'une refonte du dispositif, pour atteindre 37,6 millions d'euros. L'enveloppe est identique en 2026.
La JDC bénéficie également de très importants financements de la mission « Défense ». Ces derniers sont restés stables par rapport à l'évolution qu'ont connu les crédits du programme 169. Ainsi, la mission « Défense » abondait les crédits de la JDC de 84,6 millions d'euros en 2024 et de 87,9 millions d'euros en 2025. Le coût moyen par participant est passé de 104 euros par participant en 2024 à 125,6 euros par participant en 2025.
Cout complet de la JDC 2021-2025
|
Année |
2021 |
2022 |
2023 |
2024 |
2025 |
|
Dépenses programme 169 (en M€) |
5,7 |
13,2 |
19,7 |
19,4 |
37,6 |
|
Dépenses hors programme 169 (en M€) |
87,1 |
91,4 |
84,1 |
84,6 |
87,9 |
|
Nombre de jeunes présents |
919 185 |
762 785 |
806 962 |
855 787 |
790 617 |
|
Cout moyen par jeunes (en euros) |
100,96 |
137,11 |
128,67 |
121,5 |
158,8 |
Source : Ministère des armées, en réponse au questionnaire budgétaire
Pour mémoire, les années 2020 et 2021 avait été marquée par la crise du Covid qui avait entrainé de nombreux reports et aménagements de la JDC.
(2) La JDC, une action clé de la lutte contre le décrochage scolaire et la marginalisation
Une des missions attribuées à la JDC est la détection de la marginalisation et de l'illettrisme de certains jeunes. La JDC apparaît particulièrement pertinente pour cette mission puisqu'il s'agit d'un point de passage obligé pour tous les jeunes d'une tranche d'âge, y compris en situation de déscolarisation.
La direction du service national et de la jeunesse intervient ainsi en aval du dispositif de repérage des « décrochés scolaires » en informant les appelés identifiés lors de la JDC, afin de contribuer à ce que « tout jeune de seize à dix-huit ans sorti sans diplôme du système de formation initiale et sans emploi soit effectivement inscrit dans un parcours de formation, d'accompagnement ou d'exercice d'une activité d'intérêt général lui permettant de préparer son entrée dans la vie active ». La JDC alimente également une base de données mise à disposition des coordonnateurs de la mission de lutte contre le décrochage scolaire.
Source : réponse au questionnaire budgétaire, session 2017
Ces données ont notamment permis de détecter en 2024 que 5 % des jeunes ayant réalisé leur JDC en 2024 était en situation d'illettrisme, information rendue publique dans une note de la Direction de l'évaluation, de la prospective et de la performance de l'éducation nationale d'octobre 202513(*).
Cependant, environ 2 à 3 % de chaque classe d'âge ne participe pas à la JDC, soit plus de 16 000 jeunes par année de naissance. Il n'est pas donné de suite à la non réalisation de la JDC puisqu'à partir de 25 ans, les jeunes en question sont considérés comme étant en règle avec le service national.
(3) Le SNU, un dispositif dont l'articulation avec la JDC reste incertaine
Le service national universel a été créé en 2019 et avait vocation, en cas de généralisation, à se substituer à la JDC. Ce dernier devrait finalement être supprimé en 2026.
En l'état actuel, les deux dispositifs coexistent. Le SNU est réalisé sur la base du volontariat alors que la JDC est obligatoire et systématique. Les jeunes ayant réalisé un séjour de cohésion du SNU sont dispensés de réaliser la JDC et reçoivent une équivalence JDC lors de leur recensement.
Le SNU relève du budget de la mission « Sport, jeunesse et vie associative. » et représentait 128,3 millions d'euros de dépenses budgétaires en 2025.
5. Une deuxième année de baisse franche des crédits « Politique de mémoire » à la suite du programme commémoratif exceptionnel de l'année 2024
La définition et la conduite de la politique de mémoire sont assurées par les services de la direction de la mémoire, de la culture et des archives (DMCA). La mise en oeuvre nationale du volet commémoration est directement réalisée par la DMCA et sa mise en oeuvre locale est déléguée à l'ONaCVG. La mise en oeuvre de la politique de la pierre relève aussi de l'ONaCVG.
L'action « mémoire » compte depuis le PLF 2024 deux sous-actions, numéroté 01 et 02. L'action 02 porte les crédits dédiés au Conseil national des communes « Compagnon de la libération » et représente 5 % des crédits avec 1,7 millions d'euros, un montant stable depuis son introduction en 2024.
La sous-action 01 correspond au périmètre historique de l'action « mémoire » et recouvre un spectre assez large d'actions. Elle fait l'objet d'un financement budgétaire pouvant s'avérer très variable d'une année sur l'autre, dépendant directement de l'actualité mémorielle. L'année 2024 avait ainsi connu un quasi doublement des crédits du fait d'une programmation mémorielle exceptionnelle liée aux 80 ans du débarquement de Normandie et aux combats de la Libération. Les crédits ont connu d'importantes réductions en 2025 puis 2026 qui les auront ramenés à un niveau légèrement supérieur à 2024. 25,8 millions d'euros sont ainsi prévus pour l'action « mémoire » en 2026.
La sous-action 01 est divisée en deux opérations stratégiques (OS) : l'OS « Mémoire » et l'OS « Sépultures de guerre et lieux de mémoire ». Pour 2026, 7,9 millions d'euros sont consacrés à l'OS mémoire (contre 14,8 millions d'euros en 2025) et 16,2 millions d'euros à l'OS sépultures (contre 16,6 millions d'euros en 2025).
a) Les crédits de l'OS sépultures de guerre et lieux de mémoire sont stables mais trop souvent annulés en exécution
L'OS « sépultures de guerre et lieux de mémoire » correspond principalement à des opérations de rénovation et d'entretien, dont l'ONaCVG a la charge.
Outre l'entretien courant des nécropoles et carrés militaires, l'ONACVG a lancé un programme de rénovation des hauts lieux de la mémoire nationale évalué initialement à 8 millions d'euros sur 4 ans.
Si les crédits dédiés à cette OS apparaissent stables sur les 3 dernières années et en hausse sur les 5 dernières années, ils ont fait l'objet de nombreuses annulations en exécution, au cours de cette même période, dont notamment une annulation particulièrement importante de 8 millions d'euros en 2024, qui tendent à remettre en cause leur niveau comme leur apparente stabilité.
Crédits programmés et effectivement
dépensés par l'ONaCVG
pour l'entretien du patrimoine
mémoriel militaire (2021-2025)
(en millions d'euros)
|
Année |
2021 |
2022 |
2023 |
2024 |
Prévision 2025 (en cours d'exécution) |
|
Autorisation LFI |
7,8 |
8,1 |
10,3 |
12,95 |
12,4 |
|
Complément ONaCVG |
2,9 |
0,3 |
0 |
0 |
0 |
|
Réserve |
0 |
0 |
- 1,3 |
- 8,0 |
- 4,4 |
|
Crédits effectivement dépensés |
10,7 |
8,4 |
9,0 |
4,95 |
8,0 |
Source : Commission des finances à partir des réponses au questionnaire budgétaire
La mission « Monde Combattant » est composée, hors titre 2, à 90 % de crédits correspondant à des rentes viagères ou à des dépenses de guichet. Aussi, bien que ne représentant qu'un pourcent des crédits de la mission, cette OS correspond aux crédits les plus facilement pilotables et annulables de la mission et de ce fait concentre sur elle de manière disproportionnée les conséquences des annulations opéreés ou des manques de financement des droits portés par la mission.
Néanmoins, le rapporteur spécial souhaite rappeler que le patrimoine mémoriel militaire de l'État doit être entretenu et que les crédits dédiés à cet entretien, une fois grevés des annulations dont ils sont désormais coutumiers, ne permettent pas de le faire de manière satisfaisante. De plus, ce manque d'entretien risque d'entrainer des surcouts à moyen terme si les dégradations légères ne peuvent pas être réparées à temps.
Le rapporteur spécial tient ici à saluer la contribution des bénévoles de toutes provenances, qui apportent un concours précieux et particulièrement estimable à la nécessaire conservation de ces hauts lieux de mémoire.
b) L'OS « Mémoire », des crédits en baisse significative pour l'année 2026 correspondant à une programmation sans actualité mémorielle forte
La programmation mémorielle pour l'année 2025 portera essentiellement sur la Victoire et les combats de l'année 1945 (libération des poches de résistance allemandes de l'Atlantique et de la Manche, poche de Colmar, etc...).
À l'échelle de l'OS, la baisse des crédits pour 2026 est de 46,6 %. Ces derniers passent de 14,8 millions d'euros en 2025 à 7,9 millions d'euros en 2026, ce qui correspond à un retour à une programmation budgétaire sans crédits « circonstanciels ».
Ces crédits permettent le financement de diverses actions pédagogiques, à destination de la jeunesse, ainsi le financement de cérémonies commémoratives. Parmi ces dernières se trouve notamment le défilé du 14 juillet ainsi que des cérémonies nationales qui sont tenues chaque année. Leur nombre a significativement augmenté ces dernières années. Il n'y avait que 6 journées commémoratives nationales en 1993, contre 17 aujourd'hui, dont 11 ont été instituées par des textes législatifs ou réglementaires.
Le rapporteur spécial tient à rappeler et à saluer l'implication forte des bénévoles des associations et de leurs porte-drapeaux dans la tenue des actions mémorielles. Il appelle à toute action permettant à ces associations de forger des liens avec les jeunes générations afin de rendre possible une continuité de cet engagement dans le temps.
Coût des 11 cérémonies nationales en 2025
|
Cérémonie |
2025 |
|
|
19 mars, journée nationale du souvenir et de recueillement à la mémoire des victimes civiles et militaires de la guerre d'Algérie et des combats en Tunisie et au Maroc |
48 260 € |
|
|
28 avril, journée nationale du souvenir des victimes et héros de la déportation |
80 347 € |
|
|
8 mai, commémoration de la victoire de 1945 |
1 300 000* € |
|
|
12 mai, fête nationale de Jeanne d'Arc et du patriotisme |
1 000 € |
|
|
27 mai, journée nationale de la Résistance |
0 € |
|
|
8 juin, journée nationale d'hommage aux « morts pour la France » en Indochine |
165 687 € |
|
|
18 juin, journée nationale commémorative de l'appel du général de Gaulle le 18 juin 1940 à refuser la défaite et à poursuivre le combat contre l'ennemi |
198 039 € |
|
|
20 juillet, journée nationale à la mémoire des victimes des crimes racistes et antisémites de l'État français et d'hommage aux « Justes » de France |
171 280 € |
|
|
25 septembre, journée nationale d'hommage aux harkis et autres membres des formations supplétives |
71 000 € |
|
|
11 novembre, commémoration de l'armistice de 1918 et hommage à tous les morts pour la France |
144 000 € |
|
|
5 décembre, journée nationale d'hommage aux « morts pour la France », aux rapatriés d'Afrique du Nord, aux personnes disparues, aux populations civiles victimes de massacres ou d'exactions et aux victimes civiles de la guerre d'Algérie et des combats du Maroc et de la Tunisie |
43 000 € |
|
|
Cérémonie d'hommage à Jean Moulin célébrée traditionnellement le 17 juin |
76 898 € |
|
*programmation exceptionnelle liée à l'anniversaire des 80 ans
Source : ministère des armées, en réponse au questionnaire budgétaire
6. Les opérateurs du programme, soumis à une budgétisation qui suscite l'inquiétude quant à la soutenabilité de leurs comptes
a) Présentation générale des opérateurs de la mission
Le programme 169 compte trois opérateurs :
- l'Office national des combattants et des victimes de guerre (ONaCVG) ;
- l'Institution nationale des Invalides (INI) ;
- le Conseil national des communes « Compagnon de la libération ».
L'ONaCVG est l'opérateur principal du programme 169. Il a la charge de mettre en oeuvre les politiques de reconnaissance et réparation en faveur des anciens combattants et la mise en oeuvre des volets local et immobilier de la politique de mémoire.
L'INI prend en charge les blessés militaires, soit pour une réhabilitation, soit pour un accueil comme pensionnaire en cas de grand handicap.
Le Conseil national des communes « Compagnon de la libération » a « pour mission d'assurer les traditions des Compagnons de la Libération, d'en conserver la mémoire, de gérer le musée, d'organiser les cérémonies commémoratives de l'appel du 18 juin et de la mort du Général de Gaulle, de participer à l'aide morale et matérielle apportée aux veuves et enfants de Compagnons de la Libération ainsi qu'aux médaillés de la Résistance et à leurs familles. L'Ordre de la Libération développe l'esprit de défense à travers l'exemple de l'engagement des Compagnons de la Libération. »14(*).
Le Conseil réalise essentiellement un travail de mémoire en lien avec l'action de la Résistance.
Le rapporteur spécial alerte sur la situation financière de l'ONaCVG et de l'INI, qui, si elle était auparavant saine, s'est fortement dégradée du fait de facteurs extérieurs à la gestion des opérateurs.
(1) Des crédits globalement en baisse du fait d'une réduction des dotations de l'ONaCVG
Les dotations de l'INI et du Conseil sont inchangées en 2026 par rapport à 2025. La dotation de l'ONaCVG est, elle, en baisse.
La baisse de la dotation de l'ONaCVG a trois origines :
- la baisse des crédits de l'action en faveur des réfugiés, qui représentent plus de la moitié des crédits transférés à l'ONaCVG et qui connait une diminution globale de 5,3 millions d'euros ;
- la baisse de la subvention pour charges de service public, de 6 millions d'euros, liée au changement de gouvernance du dispositif ATHOS ;
- la baisse de la subvention de l'ONaCVG pour oeuvres sociales, de 5 millions d'euros.
Les crédits fléchés pour financer le Conseil national des communes « Compagnon de la Libération » sont identiques à ceux de 2024 à 1,74 million d'euros.
(2) Un plafond d'emplois stable en 2026 mais historiquement sous-exécuté
Les opérateurs du programme ont connu de fortes baisses d'ETPT au cours des dernières années. Une diminution de 127 ETPT est constatée en exécution de 2019 à 2022.
A contrario, depuis 2022 le plafond d'emplois autorisés est stable. Cette stabilisation est notamment due à un rebond du nombre d'ETPT de l'ONaCVG pour faire face à la nécessité de traiter les dossiers d'indemnisation au titre de la loi n° 2022-229 du 23 février 2022 portant reconnaissance de la Nation envers les harkis et les autres personnes rapatriées.
Il faut également signaler que les autorisations d'emplois sont systématiquement sous-exécutées sur la période 2020-2024. Dans les deux cas la sous-exécution est liée à un financement trop contraint des opérateurs pour leur permettre de recruter à hauteur de leurs plafonds d'emplois autorisé. Dans le cas de l'INI, le gel du recrutement de 20 ETPT est explicitement prévu par un plan de retour à l'équilibre financier de l'opérateur.
Évolution des emplois ouverts aux deux
principaux opérateurs du programme
en loi de finances
(2020-2026)
|
LFI 2020 |
LFI 2021 |
LFI 2022 |
LFI 2023 |
LFI 2024 |
LFI 2025 |
PLF 2026 |
|
|
INI |
418 |
421 |
420 |
419 |
419 |
419 |
419 |
|
dont sous plafond |
418 |
412 |
411 |
410 |
410 |
410 |
410 |
|
ONAC-VG |
845 |
827 |
804 |
802 |
805 |
805 |
805 |
|
dont sous plafond |
845 |
801 |
778 |
775 |
779 |
779 |
779 |
|
Total |
1 263 |
1 248 |
1 224 |
1 221 |
1 224 |
1 224 |
1 224 |
|
dont sous plafond |
1 263 |
1 213 |
1 189 |
1 185 |
1 189 |
1 189 |
1 189 |
Source : la commission des finances, d'après les documents budgétaires
Évolution des emplois
exécutés des deux principaux opérateurs du programme
(2020-2024)
|
2020 |
2021 |
2022 |
2023 |
2024 |
|
|
INI |
407 |
399 |
395 |
398 |
388 |
|
ONAC-VG |
836 |
798 |
771 |
782 |
776 |
|
Total |
1 243 |
1 197 |
1 166 |
1180 |
1164 |
Source : la commission des finances, d'après la documentation budgétaire
b) L'ONaCVG, un acteur incontournable pour la mise en oeuvre des crédits de la mission en cours de restructuration
(1) L'ONaCVG, un acteur essentiel dans la mise en oeuvre des actions de la mission « Monde combattant »
L'ONaCVG est un établissement public sous tutelle du ministère des armées. Il a pour mission de servir au mieux les intérêts de ses ressortissants. Ces derniers recouvrent des situations très différentes, pouvant appartenir à 19 catégories différentes. Il s'agit pour l'essentiel d'anciens combattants, de prisonniers de guerre, de victimes civiles et de leurs ayants cause. Aux catégories historiques doivent malheureusement désormais s'ajouter les victimes de terrorisme.
L'ONaCVG dispose d'une gouvernance collégiale particulière puisqu'il est géré conjointement par l'autorité de tutelle, représentée notamment par la ministre déléguée chargée de la mémoire et des anciens combattants qui dirige le conseil d'administration, et par les associations d'anciens combattants et mémorielles qui sont représentées au sein du conseil d'administration, de manière paritaire. Cette forme de gouvernance donne ainsi directement voix aux ressortissants de l'ONACVG pour les décisions qui les concernent.
L'office dispose enfin d'un maillage territorial important puisqu'avec 104 services déconcentrés, il est présent dans chaque département, en outre-mer, en Algérie et au Maroc. Ce maillage se justifie par la mission d'accueil par l'ONaCVG de ses ressortissants, dont un nombre particulièrement important - la 3e génération du feu et ses veuves - est âgé et de plus en plus dépendant, ainsi que par la nécessité de maintenir des liens forts avec les associations d'anciens combattants locales, ce tissu associatif comprenant près de 8 000 associations, dont 7 500 locales. Il est actuellement prévu que ce maillage soit maintenu jusqu'en 2035, en lien avec l'évolution démographique de la 3e génération du feu.
Il s'est engagé dans une démarche dite « aller vers » consistant à développer des partenariats avec les correspondants défense des communes, les instances sociales des EPHAD et des hôpitaux, les brigades de gendarmerie, les maisons France service et les CCAS des communes afin d'avoir une démarche proactive dans la détection de ses ressortissants les plus âgés et les plus dépendants.
La réalisation d'un nombre assez important de missions, parfois disparates, est confiée à l'office. Il est ainsi responsable :
- de la mise en oeuvre des mécanismes de reconnaissance et de réparation en faveur de ses ressortissants (attribution de la carte du combattant, réversion de l'allocation de reconnaissance du combattant et de la PMI, attribution de titres tels que « Mort pour la France », etc...) ;
- du soutien au monde combattant, notamment en apportant un soutien moral et matériel à ses ressortissants et en subventionnant ses associations ;
- de la reconnaissance des pupilles de la Nation et de la République et de leur suivi ;
- de l'exercice de missions de mémoire : entretien des sépultures militaires (carrés militaires, cimetières, nécropoles et monuments aux morts) et hauts lieux de la mémoire nationale ainsi que la mise en oeuvre locale du versant commémoratif de la politique de mémoire ;
- de la mise en oeuvre des droits des rapatriés et des membres des forces supplétives d'Afrique, ainsi que leurs descendants. L'ONaCVG est le guichet unique pour toutes les actions publiques les concernant ;
- par sa participation au conseil d'administration du Bleuet de France depuis le 1er janvier 2023, date marquant la création du fonds de dotation du même nom. Avant le 1er janvier 2023, l'Office gérait directement l'oeuvre nationale du Bleuet de France. ;
- en se voyant transférer les crédits du programme 158 pour la mise en oeuvre effective des indemnisations ;
- depuis 2023, du pilotage du dispositif ATHOS d'accompagnement des blessés psychiques après leur départ de l'institution militaire, qui était précédemment à la charge de l'armée de terre. Ce dispositif sera confié à l'Institution de gestion sociale des armées (IGESA) en 2026, dans une optique de rationalisation de sa gestion qui était auparavant partagée entre ONaCVG et IGESA.
L'ONaCVG est un acteur de référence pour le volet mémoire de toute action de lien entre la Nation et ses armées. Il intervenait jusqu'alors lors de la JDC ou du SNU. Cependant la refonte du programme de la JDC s'est effectuée sans module « mémoire » et le SNU pourrait être supprimé.
L'Office intervient toujours dans des concours scolaires comme le concours national de la résistance et de la déportation, ainsi que dans d'autres actions plus ponctuelles comme l'action « Aux sports jeunes citoyens ! ».
(2) Des crédits stagnants contraignant l'action de l'Office
Les crédits de l'Office sont, hors subvention pour charge d'investissement (+ 800 000 euros), en baisse.
Ainsi, la SCSP de l'Office est en diminution de 6 millions d'euros par rapport à 2025 du fait du transfert de la gestion du dispositif ATHOS à l'IGESA. Hors ATHOS, la SCSP de l'Office est stable par rapport à 2025. Cependant, cette stabilité ne permet pas de prendre en compte les augmentations de charges courantes de l'Office et notamment les revalorisations des rémunérations de ses agents, situation qui avait déjà lieu en 2025.
L'Office indique que la sous-exécution de son plafond d'emploi est lié à cette stagnation de sa dotation, qui ne lui permet pas d'avoir des crédits de titre 2 suffisant pour recruter à hauteur de son plafond d'emploi. Par ailleurs, la trésorerie de l'Office, désormais inférieure à un mois de fonctionnement courant, ne lui permet pas de compléter sa SCSP et l'expose à des risques en gestion en cas d'adoption tardive du budget de l'État.
Les crédits qui lui sont transférés depuis le programme 158 sont en légère baisse, de 2,9 millions d'euros (- 3,4 %), principalement du fait de la diminution du nombre des crédirentiers bénéficiant des dispositifs dont les crédits sont transférés.
Les crédits transférés à l'Office au titre du programme 169 sont en baisse de 16 millions d'euros, après deux années de hausse consécutives. La hausse qui la précédait s'expliquait essentiellement par l'augmentation des crédits en faveur des rapatriés qui comptent pour les 2/3 de l'enveloppe.
La baisse de 2026 recouvre 3 mouvements : la baisse des crédits en faveur des rapatriés, de 5,3 millions d'euros, la baisse de la subvention pour oeuvres sociales, de 5 millions d'euros et une baisse des crédits transféré au titre de l'OS « Mémoire & patrimoine mémoriel » de 5,7 millions d'euros.
La baisse de la subvention pour oeuvres sociales de l'ONaCVG, équivalente à 5 millions d'euros, s'explique, d'une part, par la suppression de4 millions d'euros compte tenu de la fin d'un dispositif spécial en faveur des pupilles adultes orphelins de la 2e guerre mondiale, et, d'autre part à une réduction du montant de la dotation versée, équivalente à 1 million d'euros, sans que cela ne s'explique par une baisse équivalente du nombre de pupilles mineurs et de ressortissants dépendants de l'Office.
Le rapporteur spécial rappelle que le fonds de roulement et la trésorerie de l'ONaCVG, longtemps excédentaires, avaient été mis à contribution ces dernières années. Ils ne permettent plus aujourd'hui de compléter la SCSP comme ce fut le cas sur la période 2019-2024.
Évolution du fonds de roulement de l'ONaCVG (2017-2023)
(en millions d'euros)
|
2018 |
2019 |
2020 |
2021 |
2022 |
2023 |
2024 |
Prévision 2025 (en cours d'exécution) |
|
41,26 |
36,30 |
18,31 |
22,12 |
47,26 |
29,53 |
19 |
11,1 |
Source : ministère des armées, en réponse au questionnaire budgétaire
Évolution de la trésorerie non fléchée de l'ONaCVG
(en millions d'euros)
|
2019 |
2020 |
2021 |
2022 |
2023 |
2024 |
|
19,41 |
7,95 |
7,39 |
10,98 |
10,24 |
11,5 |
Source : ministère des armées, en réponse au questionnaire budgétaire
En particulier, l'Office alerte sur son niveau de trésorerie, désormais inférieur à 1 mois de fonctionnement courant, ce qui l'expose à des risques de financement en cas de délai important dans l'adoption du budget de l'État, ce qui a failli se produire en 2025.
(3) La transformation du Bleuet de France
Dans le cadre de sa « nouvelle ambition », l'oeuvre nationale du Bleuet de France a été transformée au 1er janvier 2023 en fonds de dotation afin de se mettre en régularité avec les règles de gestion publique suite à des critiques adressées par la Cour des comptes. L'ONaCVG siège à son conseil d'administration en tant que membre fondateur.
La transformation du Bleuet en fonds de dotation est aujourd'hui perçue de manière favorable tant par l'Office que par les associations d'anciens combattants.
La forme juridique du fonds de dotation permet à la fois de disposer d'un personnel dédié à plein temps à la promotion du Bleuet de France et l'acceptation de dons.
Le fonds collecte ainsi 2,7 millions d'euros annuel alors que la collecte du Bleuet ne rapportait qu'1 à 1,5 million d'euros annuel lorsque ce dernier dépendait directement de l'ONaCVG.
Une difficulté continue se présente cependant : la collecte du Bleuet est très largement réalisée par les associations d'anciens combattants dont les membres sont de moins en moins nombreux et de plus en âgés.
c) L'Institution Nationale des Invalides, acteur historique de la prise en charge des invalides de guerre
(1) Role de l'INI
L'Institution Nationale des Invalides est un établissement public administratif placé sous la tutelle du ministre chargé des armées. Elle est chargée de trois missions :
- accueillir les invalides bénéficiaires des dispositions du code des pensions militaires d'invalidité et des victimes de guerre ;
- dispenser des soins en hospitalisation ou en consultation aux malades et aux blessés en vue de leur réadaptation fonctionnelle, professionnelle et sociale ;
- participer aux études et à la recherche sur l'appareillage des handicapés.
(2) Le financement de l'INI
Plusieurs remarques peuvent être formulées sur les crédits affectés à l'INI.
Les ressources de l'INI proviennent :
- pour une dizaine de millions d'euros par an, de revenus propres ;
- d'une dotation annuelle de fonctionnement (DAF) allouée par le ministère de la santé et de la prévention pour financer la part des dépenses prises en charge par le régime d'assurance maladie, avec un montant prévisionnel pour 2026 de 14,4 millions d'euros, identique à 2025 ;
- de crédits transférés issus du programme 169, ces derniers s'élevant à 14,5 millions d'euros en AE et 21,9 millions d'euros en CP en 2026.
Les crédits transférés au titre du programme 169 recouvrent deux aspects : la SCSP de l'opérateur et une subvention pour charge d'investissement (SCI) pour la mise en oeuvre de la rénovation immobilière de l'institution.
La SCSP est globalement stable d'une année à l'autre et son montant de 14,4 millions d'euros en 2026 (AE=CP) est quasi-équivalent à son montant en 2025 et 2024 (+ 250 000 euros sur la période).
La SCI, au contraire, est extrêmement variable d'une année à l'autre car l'INI s'est engagée dans un grand programme de rénovation et de réhabilitation de ses locaux. Aussi les mouvements de la SCI d'une année sur l'autre varient pour s'inscrire dans le cadre d'un schéma directeur immobilier (SDI) dont le coût total était estimé en 2025 à 62,16 millions d'euros (montant actualisé 2026 non transmis). Les CP de la SCI s'élevaient à 11,3 millions d'euros en 2025 et s'élèvent à 7,5 millions d'euros en 2026. Au niveau des AE, 7,5 euros d'AE étaient prévus pour la SCI en 2025 contre 100 000 euros en 2026. À ces travaux doivent également s'ajouter une rénovation du bâtiment Robert de Cotte, pour laquelle un budget global de 21,7 millions d'euros est prévu (estimation 2025 également).
Cette rénovation immobilière de grande importance a été mis en oeuvre dans le cadre du COP 2022-2026 de l'Institution, et prévoit désormais un renouvellement de la quasi-totalité des bâtiments occupés par l'INI rendu nécessaire par leur trop grande vétusté.
L'INI dispose ainsi d'environ 40 millions d'euros pour son fonctionnement courant. Son budget total s'élevait en 2025, hors SCI, à 39,6 millions d'euros en AE. Il existe cependant un risque de manque de ressources pour l'INI en cas de sous-performance des ressources propres, parfois pour des raisons extérieures à l'Institution, comme ce fut le cas en 2023.
(3) Un opérateur faisant face à des difficultés quant à ses ressources propres
Tout d'abord, le centre des pensionnaires connait une baisse de la population des personnes pouvant prétendre au bénéfice d'un hébergement aux invalides, tandis que le centre de réhabilitation subit une baisse d'activité du fait d'un non-renouvellement de personnels médicaux et paramédicaux et que le centre d'appareillage voit son activité baisser suite à son déménagement de Créteil à Paris. Ces différents facteurs ont entrainé une réduction des ressources propres de l'INI en 2023 qui se sont élevées à seulement 8,6 millions d'euros pour cette année. L'INI semble avoir réussi à faire remonter le niveau de ses ressources propres en 2024 et 2025, ces dernières s'élevant alors respectivement à 10,3 et 10,9 millions d'euros.
En conséquence, l'INI avait dû geler tous ses investissements hors rénovation immobilière sur la période 2023-2024. Un plan de retour à l'équilibre a été élaboré en 2025. Ce dernier prévoit notamment un gel du recrutement de 20 ETPT sous plafond (sur 409) et un recours au mécénat.
Le rapporteur spécial tient à souligner la particularité des missions de l'INI qui doit aider à la reconstruction de ses pensionnaires, lesquels doivent être très entourés. Aussi le taux d'encadrement de l'INI, qui est certes supérieur à celui d'établissements comparables, n'apparaît pas disproportionné au regard de la mission dont l'institution a la charge.
Le rapporteur spécial renvoie à son rapport d'information sur la prise en charge des blessés militaires pour une analyse plus approfondie du rôle de l'INI et des difficultés auxquelles l'Institution fait face15(*).
* 2 Arrêté du 23 décembre 2024 pris en application du décret n° 2022-128 du 4 février 2022 modifiant les modalités de fixation de la valeur du point de pension militaire d'invalidité.
* 3 Projet annuel de performances « Monde combattant, mémoire et liens avec la Nation » 2026.
* 4 Avant le décret n° 2022-128 du 4 février 2022 modifiant les modalités de fixation de la valeur du point PMI, il était calculé selon le principe du « rapport constant », soit une révision trimestrielle et avec effet rétroactif.
* 5 Rapport du Gouvernement au Parlement comparant l'évolution constatée de la valeur du point de pension et de celle de l'indice des prix à la consommation hors tabac, remis en application de l'article D. 125-5 du code des pensions militaires d'invalidité et des victimes de guerre.
* 6 Décret n° 2023-890 du 21 septembre 2023 relatif à l'extension du périmètre d'application du mécanisme de réparation confié à la commission nationale indépendante de reconnaissance et de réparation des préjudices subis par les harkis, les autres personnes rapatriées d'Algérie anciennement de statut civil et de droit local et les membres de leurs familles et aux modalités d'organisation de cette instance ;
Décret n° 2025-882 du 3 septembre 2025 relatif à l'extension du périmètre d'application du mécanisme de réparation confié à la commission nationale indépendante de reconnaissance et de réparation des préjudices subis par les harkis, les autres personnes rapatriées d'Algérie anciennement de statut civil et de droit local et les membres de leurs familles.
* 7 Article 1er de la loi n° 2022-229 du 23 février 2022 portant reconnaissance de la Nation envers les harkis et les autres personnes rapatriées d'Algérie anciennement de statut civil de droit local et réparation des préjudices subis par ceux-ci et leurs familles du fait de l'indignité de leurs conditions d'accueil et de vie dans certaines structures sur le territoire français
* 8 Idem
* 9 Marc Laménie, Rapport général n° 144 (2024-2025) sur le projet de loi de finances pour 2025, tome III, annexe 5, déposé le 21 novembre 2024
* 10 Marc Laménie, Rapport n° 743 (2024-2025) sur le projet de loi relative aux résultats de la gestion et portant approbation des comptes de l'année 2024, tome II, annexe 5, déposé le 18 juin 2025
* 11 Pensions comprises.
* 12 Marc Laménie, Le service militaire volontaire, un dispositif militaire original d'insertion professionnelle de la jeunesse, Rapport d'information n° 34 (2023-2024), déposé le 17 octobre 2023
* 13 Giraudeau-Barthet H., 2025, « Journée défense et citoyenneté 2024 : un jeune Français sur vingt en situation d'illettrisme », Note d'Information, n° 25-57, DEPP.
https://www.education.gouv.fr/journee-defense-et-citoyennete-2024-un-jeune-francais-sur-vingt-en-situation-d-illettrisme-451589
* 14 Documentation budgétaire, PAP 2023 mission « Anciens combattants, mémoire et liens avec la Nation ».
* 15 Marc Laménie, Militaires blessés : pour une prise en charge encore plus complète et adaptée, rapport d'information n° 77 (2024-2025), déposé le 24 octobre 2024








